深圳市敏创电子有限公司

NTC热敏电阻生产厂家
专注NTC热敏电阻12年,可特殊定制

热门搜索: 热敏电阻厂家 |

您当前所在的位置:主页 > 技术文章 > 技术文章

选择热敏电阻最佳范围的电阻器

时间:2019-08-05   来源:敏创电子  编辑:热敏电阻厂家  浏览:
这可能并不明显,但选择正确的R 1非常重要。它需要了解热敏电阻的电阻与待测温度之间的关系。我们可以从重写分压器方程开始:



如果我们解决R 1:




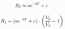
我们当然可以根据拟合参数和温度重写R 2:



如果我们假设一个温度范围,我们可以取温度范围的中间位置并将V 2置于中间,确保我们的R 1值完美地将温度范围的中间位于Arduino电压范围的中间。一旦从所需的温度范围计算出电阻,我们就可以使用以下公式来预测Arduino电压与温度的关系:



我们现在可以使用工厂派生的热敏电阻方程中的拟合参数,并创建一个图表,演示由于温度变化和分压器电阻R 1引起的电压响应。使用V 0 = 3.3V,绘图将如下所示:

分压器电阻响应曲线。热敏电阻电压的响应根据所选的分压电阻而变化。请务必在上面的电阻器附近选择一个电阻器,以满足您所需的特定温度范围。